功的最簡單定義就如古典力學中的定義一般
,
力與位移向量乘積的積分就是功。用比較接近熱力學的口吻來說,就是系統在力的作用下有位移產生。要注意上式是基本定義,但不是每一個系統都可以明確地定義出力和位移。我們把系統視為一個整體對它的周遭外界施力,而系統會有位移發生。這樣的情況下系統對外作功或是系統被外界作功,是為外在的功(External
Work),在系統本身之內某部分對另一部分相互所作功為內在的功(Internal
Work)。一般只有外在的功(External Work)在熱力學的討論之中,因為包含系統與周遭外界的作用才有意義。如電池在斷路時不作功但連成通路時電力產生即可對外界作功。又例如磁鐵可以被通電的導體線圈中的渦電流充磁或去磁。
當外界對系統作功(Work is done on
the system),則系統的能量增加,則此功為正。當系統對外界作功(Work
is done by the system),則系統的能量減少,則此功為負。
3-2 準靜過程 (Quasi-Static Process)
準靜過程是指:當一個平衡系統變化到另一平衡系統時,如果是準靜過程,則系統在變化的過程之中雖處於不平衡態,但是過程中的每一步都無限接近於一個平衡態,而且所有在變化過程中的不平衡態,均可以用其無限接近之平衡態的熱力學坐標對整個系統在準靜過程中作適當的描述。在前二章我們談過,處於熱動力平衡的系統才可以被其熱力學坐標描述。當系統對外界作功時或外界對系統作功時,系統由一初始平衡態變化至末了平衡態的中間過程中均處非平衡態。但是為了能夠容易描述系統的變化過程,且可以用數學形式來表示所以假設其為準靜過程。所以準靜過程是可以用熱力學坐標加以描述,也就可以在相圖中表示出來,更重要的是有狀態方程式可以描述。嚴格而言實驗上模擬的準靜過程是不可能完全滿足,但某種程度上還算接近。
前一章所提到的非全微分(inexact differentials)的特性就可以用於準靜過程,例如功的積分就與路逕有關。全微分(exact
differentials)的特性是積分就與路逕無關。
3-3 靜流體系統的功
靜流體系統可以用P,V和θ來描述。考慮一個簡單的活塞系統如下圖所示:

If the piston is moved by the distance dx due to the pressure P, or the force PA, then
=>
where
represents a inexact
differential. Minus sign imply that positive dV give rise to negative
work(work is done by the system) and negative dV
in attended by positive work(work is done on the system).
負號的意義: 系統對外界作功,系統體積增大(dV為正)且系統能量減少,
為負功。外界對系統作功,系統體積變小(dV為負)且系統能量增加,
為正功。
在一有限的準靜過程中體積由Vi->Vf,則功可以寫成
因為是準靜過程,P與外界之壓力相等而且是一熱力學坐標。當θ與 P, V 的關係式確定,即狀態方程式已知,上式的積分可以被計算。因為當狀態方程式已知,P可以表示成V的函數,也就是說上式積分的路徑已經確定了。在此種情況下若準靜過程沿相同路徑反方向積分則會得到
![]()
上式只在沿相同路徑積分時成立。
3-3 PV 相圖
由 PV 相圖,我們可以很容易得知
不是全微分。
(a)圖中系統經由準靜過程I,從i到f所作之功
為負功。
(b)圖中系統經由準靜過程II,從f到i所作之功
為正功。此時
不等於
因為準靜過程I和II是不同的路徑。
(c)圖中系統經由準靜過程I和II,從i到f再從f到i所作之功為W=
+
為負功。因為
>
且準靜過程I和II是不同的路徑。
3-5 功與路徑相關(Work Depends on the
Path)
『The work done by a system depends not only on the initial and final states but also on the intermediate states, i.e. on the path.』
由前一節的討論中得知功之微小變化,
,並不是全微分,其積分與路徑相關。
例:由路徑iafbi,一個循環所作之功為何?若為ibfai,所作之功又為何?

3-6 Work in Quasi-Static Processes
1. Quasi-Static isothermal expansion or compression of an ideal gas
Ideal-gas equation is PV = nRθ

=>

Example: At 0℃, isothermally compressed a 2 kmol idea gas from 4 m3 to 1 m3, how much work has to be done on the gas?
W = -2.30×2 kmol×8.31 kJ/kmol.K×273 K ×log(1/4)
= 6300 kJ
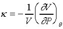
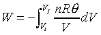
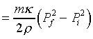
2. Quasi-Static isothermal increase on a solid
Work is calculated by
,
where
the isothermal compressibility is
,
so at constant temperature, we have
so
because the system is a solid material, so the change of V and k at constant temperature are so small that they may be ignored, hence

Example: For copper at 0℃, r=8930kg/m3, k=716×10-12 Pa-1, m=100kg Pi=0 and Pf=1000 atm =1.013×108 Pa, plug into the above equation and we find W
W=0.411 kJ
比較上述之(a),(b)兩個例子,得知等溫時壓縮氣體所作的功較等溫時壓縮固體所作的功大了許多。所以在壓縮在一容器內氣體作功時可以忽略對容器所作的功。(可以參考 2-1 PV 純物質相圖中CD段所包函的面積較AB段小,可以想見如果段是固相則面積更小)
3-7 Work in Changing the Length of a Wire:
在準靜過程中被伸長(或是被壓縮)的線長度由L伸長到L+dL所作之功為
(為甚麼沒有負號) 註:所有之討論均為準靜過程。
![]()
F 是在準靜過程中每一瞬時之張力(由虎克定律之應該是L的函數),不同的路徑F
與L相依的關係不一樣。
==>
是一不全微分(inexact
differential) 問: 此種系統如何辨定正或負功?什麼是此係統的準靜過程?
3-8 Work in Changing the Area of a Surface film
Consider a double surface film with liqid in between; (see figure below)
= 2SLdx
thus
=SdA
其中 dA=2Ldx.
3-9 Work in Changing the Charge of a Reversible Cell
準靜過程:外加之電位計(potentiometer)可以無限小改變電位,使得其電位與電池的電位,E,的差異可以無限;這就是一個準靜過程。
功是:
當電位計電壓略小於電池電壓E,則電池系統電荷由Cu→Zn,系統對外作功,dZ為負值、
為負功。反之,當電位計電壓略高於電池電壓E,則電池系統電荷由Zn→Cu,系統被外界作功,dZ為正值、
為正功。電荷轉移dZ等於idt,i為電流,dt為時間間距。
問題:為什麼
也是不全微分?正負功如何決定?
3-10 Work in Changing the Plarization of a Dielectric Solid
考慮一平行電容板,中間有介電物質。平行電容板的電位是E,所以在介電質中的電場E是:
。
l為平行電容板之寬度。 當此電容之電荷有微小變化
dZ 時(其中一板有的+Z電荷,另一板有的-Z電荷)
自由電荷量Z(Charge),可以由電位移D(electric
displacement)算出。對平行電容板而言:
,
即
所以→
![]()
→

其中
:表示增加電場強度由E到dE所需之功。這項代表平行電容板在沒有介電質的情況。
:表示增加介電質的極化率由P到dP所需之功。當無介電質時此項為零。
因為我們僅考慮介電質作為熱力學的系統(介電質的極化率是由外接電位是E之平行電容板所產生的),故平行電容板與其所外接電源為外界,就系統而言功為
,此式為一般式,不僅對平行電容板適用而已,對所有電容介電質系統均適用。即

問題:此系統的準靜過程為何?
為什麼不是全微分?
見圖3-7,由線圈(Toroidal Winding)所產生之均勻磁場B會將磁性物質磁化。若dt時間內此均勻磁場改變量為dB,則由法拉第電磁感應定律知感應電動勢是

(負號表示反抗的增加) N表線圈圈數。若dt時間內又有dZ的電荷在電路中被傳動(因為電流隨時間變化),則系統對外界作功,故

線圈所產生之磁場強度H在Toroid中是:

故:
設M為總磁矩(或稱總磁化率),則
→→
:為當沒有磁性材料在內,即真空時的情況。
:為當有磁性材料填充在內時,磁場變化時對磁性材料所作之功。
我們所考慮之熱力學系統是被線圈圍繞的物質,故功的數學式為