²z·Q®ðÅé·Å¼Ð£c¡F©w¸q¬O¡]©w®e·Å«×p¡^
¡A¡]·íP©M
Áͪñ©ó¹s®É¡^
£c»P®ðÅ骺¥»½èµLÃö¡C¦ý¬O·íP©M
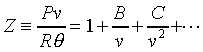
¤£ÁÍ©ó¹s®É¡A¦UºØ®ðÅé©ÒÅã¥ÜªºÈ³£¤£¦P¡Aªí¥Ü»P®ðÅ饻½è¦³Ãö¡]¹Ï1-8¡^¦pªG«O«ù¦b©w·Åªº®ðÅé¡F´ú¶q¨ä¤£¦P²ö¦ÕÅé¿nv¤Î¬Û¹ïÀ³¤§À£¤OP¨Ã¨D¨ä¼¿nPv¡A«hPv¥i¥H¥ÎVirial
Expansionªº¤èªk®i¶}¡]¬°¤°»ò¡H¡H¡H¡^¡]Pv¥i¥Hµø¦¨±K«×ªº¨ç¼Æ¡A·í½è¶q«O«ù¤@©w®É¡A«h¥i¥Hµø¦¨1/vªº¨ç¼Æ¡A³o´N¬O¬°¤°»òn¥ÎVirial
Expansion¡C¡^¡F§Y
A¡BB¡BCµ¥ºÙ¤§¬°ºû¨½«Y¼Æ¡A¨Ò¦pA¬°²Ä¤@ºû¨½«Y¼Æ¡AB¬°²Ä¤Gºû¨½«Y¼Æµ¥¡C»P®ðÅé¤À¤lªº¯S©Ê¦³Ãö¡C¦b0¨ì40atmªºÀ£¤O½d³ò¤§¤º¡APv©M1/v¹ê»Ú¤W¬O¦³½u©ÊªºÃö«Y¡C¦b¦¹±¡ªp¤§¤W¡A¯¦³ÀY¤GÓºû¨½«Y¼Æ¡AA©MB¦³«¤j·N¸q¡C·íÀ£¤O·U°ª©Ò»Ý¦Ò¼{¤§ºû¨½«Y¼Æ´N·U¦h¡C------¬°¤°»ò¡C
¹Ï5-1¤¤Åã¥Ü©T©w·Å«×®É¡A·íP¡÷¹s¦UºØ®ðÅ餧Pv¼¿nÁͪñ¤@Ó©wÈ¡F§Y
·Å«×¤§¨ç¼Æ»P®ðÅéµLÃö
²z·Q®ðÅé·Å«×©w¸q¬O¡G
¡]Åé¿n»P²ö¦Õ¼Æ«O«ù¤@©w¡^
-----¡÷-------
§Y
©Ò¥H²z·Q®ðÅé±`¼Æ§Y

©Ò¥H
©w¸q¡G

¥i¥H¥Î§@¹Ïªk¨D±oB©MC¡F¨£¹Ï5-2¥Ñv¡]Z-1¡^V.S.1/v§@¹Ï¡A«h»PY¶b¤§¥æÂI§Y¬°B¡A¦Ó±×²v¬°C¡G
PS. ¹Ï5-2¤§µ²ªG»Pªí5-1¬Û²Å¦X¡C
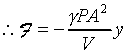
®Ú¾Ú²Ä¤@¹B°Ê©w«ß¡A¦b¦Û¥Ñ¿±µÈªº¹Lµ{¤¤¡AQ©MW³£¬O¹s¡A©Ò¥H¨t²Îªº¤º¯à«O«ù¤£ÅÜ----¦ý¬O¨t²Îªº·Å«×¬O§_¦³ÅܤƩO¡H¡H§Y
¦¹¨t¼ÆºÙ¤§¬°Joule
Coefficient¡F³o¼Ëªº®ÄÀ³ºÙ¤§¬°Joule
effect¡C ¤@¯ë¦Ó¨¥¡GU=U(V,£c)©ÎU=U(P,£c)
¦b¦Û¥Ñ¿±µÈ¹Lµ{¤§¤¤¡FdU=0¡FYd£c=0¡]§Y¨S¦³·Å«×ªºÅܤơ^«h
¡F´«¥y¸Ü»¡§Y¤º¯à»PÅé¿nµLÃö¡CY¥ÎU=U(P,£c)¨Óªí¥Ü«h¡G
Y¦b·Å«×¤£Åܪº±¡§Î¤U¡A¸g¥Ñ¦Û¥Ñ¿±µÈªº¹Lµ{¡FdU=0¥Bd£c=0¡F«h

¤]´N¬O»¡¤º¯à»PÀ£¤OµLÃö¡C¥Ñ¤Wzªº°Q½×¥i¥Hª¾¹D¡F·í¶i¦æ¦Û¥ÑµÈ®É¡AY·Å«×¨S¦³µo¥ÍÅܤơA«h¤º¯à¤£¬OÅé¿n©MÀ£¤Oªº¨ç¼Æ¦Ó¶È»P·Å«×¬ÛÃö§YU=U(£c)¡C
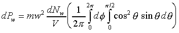
¬°¤Fn¬ã¨s¦Û¥Ñ¿±»P·Å«×ªºÃö«YJoule³]p¦p¤Uªº¹êÅç¡G

±N¶}Ãö¥´¶}¥H«á¡A®ðÅé¦Û¥Ñ¿±µÈ¨ì¯uªÅ³¡¥÷¡A´ú¶q¿±µÈ«e«áªº¤ô·Å¡A«h¥i¥Hª¾¹DFree
expansion»P·Å«×ªºÃö«Y¡C¦ý¬O¤ô»P®e¾¹ªº¼ö®e¶q¬O®ðÅ骺¤@¤d¿¥ª¥k¡A©Ò¥HJouleµLªk´ú¥X¥ô¦ó·Å«×ªºÅܤơA¦ý¨Æ¹ê¤W®ðÅ骺·Å«×·|¤U°ªº¡C°ò¥»¦Ó¨¥¬O¥¢±Ñ¤F¡C¬°¤°»ò¡H¡H¡H¡÷¦]¬°Cwater,C®e¾¹>>Cair
²{¥N¬ã¨s®ðÅ餺¯àªº¹êÅç(¦p¤U¹Ï©Ò¥Ü)¬O´ú¶q
ªºÈ¡F¬O§Q¥Î¤@Ó¬J¦³§@¥\¤S¦³¼ö¶Ç¾Éªºµ¥·Å¿±µÈ¹Lµ{¡C¹Ï5-3

µo²{
¯¬O·Å«×ªº¨ç¼Æ»PÀ£¤OµLÃö

¦b0-2atmªº½d³ò¤§¤º¡F¯u¹êªº®ðÅé¥i¥H³Qµø¬°²z·Q®ðÅé»~®t´X%¦Ó¤w¡C
¹ïÀR¬yÅé¨t²Î¡GPV=nRT¡G 
¦b©wÀ£ªº±¡§Î¤UdP=0¡÷dP/d£c=0 ¥B
¥B
®ðÅ骺¼ö®e¶q¬O§Q¥Î¹q¨m¤èªk¨Ó´ú¶q¡ACvªº´ú¶q¬O±N®ðÅé¸m©ó¤@«D±`Á¡ªºÅK®e¾¹¨äÅé¿n«O«ù¤@©w¡A¥~¶¥[
¼ö¥Îªº¹q¼öµ·¡G

§Q¥Î¤Uµ¥¦¡ «h¥i¥H¨DCV
£Gt¬°¥Î¹q¥[¼ö®É¶¡¡A£G£c¬°¦b¦¹®É¶¡¤º·Å«×ªºÅܤÆ,m¬°®ðÅ骺½è¶q¡A«hcv
¬°¬Û¹ïÀ³¤§©w®e¤ñ¼ö¡A
CPªº´ú¶q¤èªk»PCVÃþ¦ü¡F¦ý®ðÅé«O«ùµ¥À£¤O©Ò¥H¥Î®ðÅé«O«ùµ¥À£¤O¬y¹L¤@¼ö¶qp¡A´úª¾®ðÅé³q¹L«á¤§·Å®t¡A®ðÅ骺¬y¶q«h¥i¥Hpºâ©wÀ£¼ö®e¶q¡F¦]¬°
¦b§CÀ£ªº±¡ªp¤U¡A¹êÅ窺µ²ªG»P²z·Q®ðÅé¬Ûªñ¡A(©w¸qcV©McP¬°²ö¦Õ¼ö®e¶q)²z·Q®ðÅ馳¤U¨Ò©Ê½è¡G(¨£½Ò¥»²Ä110¶)
1¡GcV is a function
of £c only 2¡GcP
is a function of £c only 3¡GcP¡ÐcV
= const. = R 4¡G£^=cP/cV
= a function of £c only and
>1 §CÀ£®Éªº³æì¤l®ðÅé¡G¦pHe,Ne©MAr¤Î¤j¦h¼Æª÷ÄÝ»]®ð¦pNa,Cd©MHg¡A¦b«Ü¤jªº¤@ӷū׽d³ò¦³¤U¨Ò©Ê½è¡G
1¡G
2¡G
3¡G
§CÀ£ªºÂùì¤l®ð Åé¤À¤lH2,D2,O2,N2,NO,COµ¥
1¡G
¡A¦b±`·Å®É¬O±`¼Æ¡AÀH·Å«×¼W¥[¦ÓÅܤj¡C
2¡G
¡A¦b±`·Å®É¬O±`¼Æ¡AÀH·Å«×¼W¥[¦ÓÅܤj¡C
3¡G
¡A¦b±`·Å®É¬O±`¼Æ¡AÀH·Å«×¼W¥[¦ÓÅܤp¡C
¹ï©ó¦hì¤l®ðÅé¤À¤l¡A©Î¬O¬¡©Ê¸û¤jªº®ðÅé¤À¤l¡A¦pCO2,
NH3, CH4, Cl2, Br2 µ¥¡A¨äCv¡A
Cp©MgÀH·Å«×¤§ÅܤƦӦ³©Ò§ïÅÜ¡A¥B¨äÅܤÆÀH®ðÅé¦Ó¦U¦³¤£¦P¡C
¹Ï5-5¬OH2ªºÀH·Å«×Åܤƪº´ú¶q¡A¦b§C·Å®É
¡A±`·Å®É
¡A¦Ó°ª·Å®É¬°9/2¡C¬°¤°»ò¡H¡H¡H¦]¬°§C·Å®É²¾°Ê®ÄÀ³©úÅã¡A¦Ó¶È¦³¤TӦۥѫסC±`·Å®É¬O»P§Ú̩ҹw´ú¬Û¦P¡A¦h¤F¨âÓÂà°Ê¦Û¥Ñ«×¡C°ª·Å®É®¶°Êªº®ÄÀ³¥çÅã²{¡C
³oºØÅܤơA¬O¥i¥H¥Î¯à¶q§¡¤Àì²z¸ÑÄÀªº¡C(the
principle of the equipartition of energy)¯à¶q§¡¤Àì²z¬O«ü¨C¤@¦Û¥Ñ«×¨ÑÄm(1/2)nRqªº¤º¯à¡C¨ä¾lªºÂùì¤l¤À¤l¥i¥H¦³¼g¦¨
¨ä¤¤
¬Oµ¥©ó©Î¬O
ªº²Õ¦¨¡C
¦]¬°
¡A
¥Bµ´¼ö¹Lµ{¤¤
,
©Ò¥H

![]()
This equation holds at all equilibrium states through which an ideal gas passes during a quasi-static adiabatic process. ¤@¨t¦Cªºµ´¼ö¹Lµ{¥i¥Hªí¥Ü¦bPV¬Û¹Ï¤W¡A¨ä±×²v¬°

·ÇÀRªºµ¥·Å¹Lµ{¤]¥i¥H³Q¤@¨t¦CÂù¦±½uªí¥Ü¡A¨ä±×²v¬°
§Y
¡A
µ´¼ö¹Lµ{ªº±×²v¸û¤j¡C
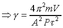
5-6 Ruchhardt's Method ´ú g

y «Ü¤p¡A·í¤p²y½è¶qm¡A³Q¤UÀ£y«áÄÀ¤â¡A·|²£¥Í²¿Ó¹B°Ê¡C³]¶g´Á¬°t¡A¦b¤£¦Ò¼{¼¯À¿¤Oªº±¡ªp¤U(P0 ¬°¤j®ðÀ£)
Åé¿nªºÅܤÆdV=yA¡A¦ÓÀ£¤OªºÅܤƬ°
dP=F/A¡A¨ä¤¤F¬°¦X¤O¤§¤j¤p¡C¦]¬°®¶°Ê§Ö³t¡A©Ò¥H¹Lµ{¥i¥Hµø¬°µ´¼ö¡A¥BdV¡BdP§¡«Ü¤p¡A¬G¹Lµ{¥i¥Hµø¬°ªñ¥¿ÅºA¡C§Q¥Îµ´¼ö¹Lµ{ªº±ø¥ó±o


¡A
³o¬O»Pªê§J©w«ß¬Û¦ü¡A¬G©P´Á¬O


¡A
¦p¦¹«h¥i¥H¨D¥Xg¡C§Q¥Î³oºØ¤èªk¶q´úªº»~®t¨Ó·½¦³
¤@) ®ðÅé«D²z·Q®ðÅé ¤G)
¼¯À¿¤´¦s¦b ¤T) The volume change is
strictly adiabatic, but it is not absolutely adiabatic. The modified Ruchhard's
experiment to get more accurate data can be found in the text book.
5-7 Speed of a Longitudinal wave
In this section we want to how g paly the role in the longitudinal wave. ·í¤@ª«Åé(©Î¨t²Î)¤§¬Y¤@³¡¤À³QÀ£ÁY«á¡A¦¹À£ÁYªº®ÄÀ³±N·|µ¥³t²v¡Aw¡A¶Ç»¼¦Ü¨ä¥¦³¡¤À¡A¦¹³t²vªº¤j¤p»P²Õ¦¨ª«½èªº¥»½è¦³Ãö¡C¤U¹Ï¤¤¡A¦pªG¬¡¶ë³Q¬I¤O P+DP ¦V¥k¥Hµ¥³t«×¡Aw0¡A²¾°Ê®É¡A·|²£¥ÍÀ£ÁY(compression)¥Hµ¥³t«×w¹B°Ê¡C·íÀ£ÁY¦æ¶iwt¶ZÂ÷®É¡A¬¡¶ë²¾°Êw0tªº¶ZÂ÷¡C

½Ò¥»ªº»¡ªk¡Gì¨Ó¨S¦³À£ÁY°Ï¡A¬¡¶ëÀ£ÁYt®É«á¡A©l¦³À£ÁY°Ïªº²£¥Í¡C¬GÀ£ÁY°Ïªº½è¶q¼W¥[²v¬°
¡A
¥B¾ãÓÀ£ÁY°Ï¤¶½èªº³t«×¬°w0¡AÀ£ÁY°Ï°Ê¶qÀH®É¶¡ªº¼W¥[¶q(Dp/Dt)¬°
¡C¥t¤@ºØ¬Ýªk¬O
À£ÁY°Ï½è¶q¼W¥[ªº³t²v¬°

(¦Ò¼{¬¡¶ë³QÀ£ÁYw0t)¡AÀ£ÁY°Ï°Ê¶qÀH®É¶¡ªº¼W¥[¶q(Dp/Dt)¬°
¡A¸ò¾Ú¤û¹y²Ä¤G¹B°Ê©w«ß¡A¥i¥H¦³¦p¤Uªº¦¡¤l
![]()

¨ä¤¤
»PÀ£ÁY°ÏÅé¿n§ïÅܪº¤ñ¨Ò¦³Ãö¡A©Ò¥H

«hÀ£ÁY°Ï¤ºÀ£¤Oªº§ïÅÜDP¬°

©Î¬OÀ£ÁY°Ïªº³t«×¬O
¦¹¦¡º¥ý¥Ñ¤û¹y¾É¥X¡A¦¡¤¤§t¦³¤@¶q
¡A¤û¹y»{¬°¬Oµ¥·ÅÀ£ÁY«Y¼Æ(Isothermal
Compressibility)¡A¦ý¹ê»Ú¤W¬Oµ´¼öÀ£ÁY«Y¼Æ¡C¦pªG§Ú̦Ҽ{¨âÓ°²·Q±¡A¤@¦bÀ£ÁY°Ïªº¤¤¤ß¡A¥t¤@¦bµ}Á¡°Ï¤¤¤ß¡A¨âªÌ¤§¶¡ªº¶ZÂ÷¬°
¡A·Å«×®t¬°Dq¡C·í³QÀ£ÁYªi¦æ¶i®É¡A©Ò¶Ç¾Éªº¼ö¶q¬°


K¬°¤¶½è®ðÅ餧¼ö¶Ç¾É«Y¼Æ¡C¦b·Å®tDq¤§¶¡ªº½è¶q¬°
¡A¦Ó²£¥Í¦¹·Å®t©Ò»Ý¤§¼ö¬°
¡C¦pªGÀ£ÁYªiªº¶Ç»¼¬Oµ´¼öªº¡A¨ä±ø¥ó¬O¶Ç»¼ªº¼ö¤Ó¤Ö¦ÓµLªk±N¨ä¶¡½è¶q¬°
ªº¤¶½è²£¥ÍDqªº·Å®t¡A§Y

¤]´N¬O»¡µ´¼öªº±ø¥ó¬O

In general, the typical wavelength is from
a few centimeters to several hundred centimeters. For gas at 0¢J,
we have 
therefore

which is much smaller than the wavelength. In the case of metal, K would be larger, but this will be compensated by the much larger values of w and q, hence it will be still smaller than 155 nm. Therefore the adiabatic condition is fulfilled. The volume changes which take place under the influence of a longitudinal wave at ordinary frequencies are adiabatic, not isothermal. Let
-
= kS,
as the adiabatic compressibility. So

For ideal gas

and

where M is the molar mass and v is the molar volume. Hence
or
For example, the speed of sound in are
at 0¢J is about 331 m/s, M
for air is 28.96 kg/kmol, therefore g
is 1.40. The speed of sound wave in a gas can be measured roughly by means
of Kundt's tube.
5-8 Acoustical Thermometry(¥i¥H¥Î¨Ó¶q´ú²z·Q®ðÅé·Å)
In previous section, we discuss the longitudinal wave in a tube. For more accurate measurement, the instrument equiped with an acoustic interferometer, one end of the tube is a source of waves such as a piezoelectric crystal and at the other a receiver. The distance of source and receiver is kept constant, the frequency of wave can be varied, the various resonances are reached. We can also use this equipment to determine the ideal gas temperature £c by plotting the square of the speed of sound as a function of pressure. Then

where
is the extrapolation of the square of the speed of sound to zero pressure,
which assures ideal conditions.(¨£¹Ï5-11)
5-9 The Microscopic point of view
¥j¨å¼ö¤O¾Ç¬O«Ø¥ß¦b¨t²Î¥¨Æ[ªº¦æ¬°¤W¡A¥Î¥H´yz¨t²Îªºª«²z¶q¤]¬O¥¨Æ[ªº¥§¡È¡C²Ä¤@©w«ß¥H¯à¶q¦uùÚªºªk«h¡A±N¼ö¡B¥\©M¤º¯à³sô¦b¤@°_¡C·í²Ä¤@©w«ßÀ³¥Î¨ì¦P¤@ºØÃþªº¨t²Î(¦pÀR¬yÅé)©Ò±o¤§Ãö«Y¦¡¹ï©ó¦¹ºØÃþ¤¤ªº¥ô¤@¨t²Î§¡¦¨¥ß¡A¤]´N¬O»¡¤£¦Ò¼{(©Î»¡µLªk¦Ò¼{)¦U¦PÃþ¨t²Î¤¤·LÆ[©Ê½èªº®t²§¡C¨Ò¦p
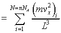
¹ï©Ò¦³ÀR¬yÅé¨t²Î¤¤ªº©TÅé¡B²GÅé©M®ðÅé§¡¦¨¥ß¡C¦pªGª¾¹DU©MV¡B£cªºÃö«Y¡A§ÚÌ¥i¥HpºâCV¡C¦bµ¥Åé¿n¹Lµ{¤¤¡A¦pªGª¾CV©M£cªºÃö«Y¡A¼ö¶q¥i¥H¥Ñ¤U¦¡ºâ¥X:
¦ý¬OÃö©óCV©MUªºÃö«Yªº¸Ô²ÓÃö³s¡A¥j¨å¼ö¤O¾Ç«oµLªk¥J²Óªº´£¨Ñ¡A¦ÓU
¥i¥H¥Î·LÆ[ªº¤èªkpºâ¦Ó±o¡C¥j¨å¼ö¤O¾Çªº¥t¥~¤@Ó·¥¬OµLªk§ä¥X©Î²z½×¾É¥Xª¬ºA¤èµ{¦¡¡C¨t²Îªºª¬ºA¤èµ{¦¡¡A¦h¥b¥Ñ¹êÅç¤èªk¨M©w¡C
¦Ò¼{¨ì¨t²Î·LÆ[©Ê½èªº²z½×¦³¤G¡G¤@¬O®ðÅé°Ê¤O½×(Kinetic
Theory)¡A¥t¤@¬O²Îp¤O¾Ç(Statistical
Mechanics)¡C¦¹¨âªÌ¥H¦Ò¼{¤À¤l¹B°Ê¬°µÛ²´¡A¦p¸I¼²¡A§@¥Î¤O¡A¯à¶qµ¥¡C®ðÅé°Ê¤O½×(Kinetic
Theory)¥i¥H³B²z¤Uz«D¥¿Åªºª¬ºA:(¥Ñ¨ä¬O²GºA¨t²Î)
¤@) Effusion¡G¤À¤l¥Ñ®e¾¹¤p¤Õº¯³z¥X¨Óªº¹Lµ{¡C ¤G) Laminar
Flow¡GMolecules moving through a pipe
under the action of a pressure difference. ¤T) Viscosity¡GMolecules
with momentum moving across a plan and mixing with molecules of lesser
momentum. ¥|) Heat Conduction¡GMolecules
with kinetic energy moving across a plan and mixing with molecules of lesser
energy. ¤) Diffusion¡GMolecules of
one sort moving across a plane and mixing with molecules of another sort.
¤») Chemical Kinetics¡G¨âºØ©Î¦hºØ¤Æ¾Ç¤À¤lªº¦³³t²vªº¤Æ¾Çµ²¦X ¤C)
Brownian Motion¡G ²Îp¤O¾Ç¥Ñ¤À¤l¯à¶qªºÆ[ÂI¥Xµo¡A¹ï©ó¥¿Å¨t²Î¥i¥H¸ÑÄÀªº«Ü¦n¡A¦ý¹ï©ó«D¥¿Å¨t²ÎÅé¨t¤´¦³¬Û·í¤jªºªÅ¶¡»Ýn¥h¤F¸Ñ¡C
5-10 Kinetic Theory--Equation of state of
an ideal gas ¥Î²³æªº®ðÅé°Ê¤O½×¨D²z·Q®ðÅ骺ª¬ºA¤èµ{¦¡¡C¨ä°ò¥»°²³]¦³ ¤@)¥ô¦ó¤@¨t²Î©Ò¥]§tªº²É¤l¼Æ¡AN¡A§¡«D±`¤j¡A¥B¥~Æ[³£¬Û¦PµLªk°Ï§O¡C¨Ò¦p²z·Q®ðÅé¦b¤@¤j®ðÀ£¤U0¢J®ÉÅé¿n¬°2.24¡Ñ104cm3¡A¦ý¦³6.0225¡Ñ1023Ӳɤl¡CÅé¿n¬°
1 cm3¡A¦³3¡Ñ1019Ӳɤl¡CÅé¿n¬°
1 mm3¡A¦³3¡Ñ1016Ӳɤl¡CÅé¿n¬°
1 mm3¡A¦³3¡Ñ107Ӳɤl¡C
¤G) ²z·Q®ðÅé¤À¤l¥Ñ¤p¦Óµwªº²y©Ò²Õ¦¨¡A¥B¬°ÀH¾÷¹B°Ê¡C¤À¤lªºÅé¿n¥i¥H³Q©¿²¤¡A©Î»¡¤À¤l¤§¶¡ªº¶ZÂ÷¸û¤À¤lªº¤j¤p¤j³\¦h¡C
¤T) ²z·Q®ðÅé¤À¤l¶¡¨S¦³¥ô¦óªº§@¥Î¤O¡A¦p§l¤Þ¤O¡B±Æ¥¸¤Oµ¥¡C ¥|) ²z·Q®ðÅé¤À¤l¶¡ªº¸I¼²§¡¬°¼u©Ê¸I¼²¡A»P¾Àªº¸I¼²¥ç¬°¼u©Ê¸I¼²¡C
¤) ²z·Q®ðÅé¤À¤l³B©óµL¥~¤O§@¥Îªº±¡ªp¤U®É¡A¤À³¡¬O§¡¤Ãªº¡C ¤») ²z·Q®ðÅé¤À¤l¹B°Ê³t«×¤è¦V¨S¦³¯S©wªº¨ú¦V¡C(¤]´N¬O¦U¤è¦V¹B°Êªº²É¤l¼Æ¬O¤@¼Ë¦h¡C
¤C) ²z·Q®ðÅé¤À¤l¹B°Ê³t«×¬O¤@¤À§G¡A¨C¤@¤À¤lªº¹B°Ê³t«×³£¤£¦P¡C ³t«×¤è¦V¨S¦³¯S©wªº¨ú¦V¡A¦Ò¼{¤@¥ô·Nªº³t«×¦V¶qw¡A¦p¹Ï5-12©Ò¥Ü¡A¥ÑìÂI¨ì±¿ndA'¡A¦¹±¿n©Ò¹ïÀ³¤§¥ßÅ騤¬°
(³Ì¤j¥ßÅ騤ªº«×¶q¬°4p)³]
¬O³t«×¤¶©ów¨ìw
+ dw¤§¶¡ªºÁ`²É¤l¼Æ¡A¦Ó³t«×¤¶©ów¨ìw
+ dw¤§¶¡¥B¤è¦V¬O´ÂµÛ¥ßÅ騤
ªº²É¤l¼Æ¡A
¡A¬°
¤W¦¡¤]»¡©ú²z·Q®ðÅé¤À¤l¹B°Ê³t«×¤è¦V¨S¦³¯S©wªº¨ú¦V¡C¦Ò¼{¤@¶ê¬W«¬ªºÅé¿ndV¡A¦p¹Ï5-13©Ò¥Ü¡A
¡CY³]V¬OÁ`Åé¿n¡A«h¥u¦³¦b¶ê¬W«¬¤¤¤À¤l¦û©Ò¦³Á`¤À¤l¼Æªº¤ñ¨Ò¬°
¡A«h
Number of w, £c,
f molecules
striking dA in time dt
=
¤W¦¡ªí¥Ü²z·Q®ðÅé¤À¤l¤À§G¬O§¡¤Ãªº¡C¥t¤@°²³]¬O©Ò¦³ªº¸I¼²³£¬O¼u©Ê¸I¼²¡A«h¥H£c¤J®g¦Ó¸gdA¤Ï¼uªº¤À¤l¨ä°Ê¶qªº§ïÅܬ°
¡A¦]¬°¥u¦³««ª½¤À¶q¦³ÅܤơC¬G¥H£c¤J®g¦Ó¸gdA¤Ï¼u¤§©Ò¦³²z·Q®ðÅé¤À¤l©Ò³y¦¨Á`°Ê¶qªº§ïÅܬ°

¸g¥Ñ¸I¼²¦Ó²£¥Í¤§³æ¦ì±¿n³æ¦ì®É¶¡¤º°Ê¶qªº§ïÅܬOµ¥©óÀ£¤O¡C³]À£¤O
¬°Àð¬Iµ¹¥Ñ¦UÓ¤è¦Vªº
Ó®ðÅé¤À¤lªºÀ£¤O¡C«h§ïÅܰʶq§ïÅܪº¥¿t¸¹¡A¥i¥H±o¨ì¦UÓ¤è¦V³£¦³ªº
®ðÅé¤À¤l¬Iµ¹ÀðªºÀ£¤O
¡A§Y

¦]¬°
¡A
©Ò¥H
¦Ó¤À¤l³t«×¥¤èªº¥§¡È¬O
¡A
±Àºt¥X

µ¥©ó¨CÓ¤À¤lªº¥§¡°Ê¯à¡A»P¹êÅç¤ñ¸û«á±o
©Ò¥H¨C¤@Ó¤À¤lªº¥§¡°Ê¯àµ¥©ó(»P¯à¶q§¡¤À©w²zµ²ªG¬Û¦P)

kªi¯÷°Ò±`¼Æ¡A¨äȵ¥©ó1.3805¡Ñ10-23 J/K¡C µù¡G¥t¥~¤@ºØ¸Ñªk¬O±N¨t²Î¦Ò¼{¦¨¥¿¤èÅé¡A«h The momentum change for the collision per molecule is
![]()
and the average per collision is
¡C
The force due to one collision is
¡A
thus the pressure on the suface is



This is the same result we have discussed
above.