4-11 Heat Conduction (熱傳導)
當一物質的兩個部分各別保持在不同的溫度(或說與兩個不同溫度的熱庫接觸),則能量在這兩部分之間的物質傳遞。實驗上證實在這兩者之間溫度是連續分部的。由於溫度不相同而在臨近區域傳遞能量的現象是為熱傳導。 下圖的結果是
,
→
dθ/dx是溫度梯度,K為熱傳導係數(當溫差不大時可以被是為常數)。負號是因為熱傳導的方向與溫度由高而低的方向相反,及溫度梯度是小於零。

K基本上為溫差的函數,熱傳導係數在當熱庫溫差不大時可以被視為常數。
樣品為金屬時,製成圓柱型,熱傳導係數,K,的測量方法如下圖所示。一端用電熱絲加熱保持定溫,另一端以水流保持定溫。熱由高溫端流向低溫時,且絕大多數的能量將由水帶走以保持定溫,對金屬而言,表面散失的能量相較之少許多。
若為非金屬,則製成薄盤型並用銅板夾住樣品,同金屬一樣,一端用電熱絲加熱保持定溫,另一端以水流保持定溫。
問題: 氣體和液體的熱傳導係數,K,如何測?
影響熱傳導係數,K,的因素
一) 熱傳導係數,K,一般為溫度的函數,
二) 也因材料之結構改變而改變(如加溫或加壓使之相變),
三) 金屬熱傳導係數對雜質的存在也極端的敏感(如銅中攙有少許砷則K減小一千倍)。
四) 對固體和液體而言,其熱傳導係數對適中的壓力的變化不敏感。
五) 固體液化時,熱傳導係數減小。
六) 多數液體其熱傳導係數隨壓力的增加而變小,隨溫度的增加而增加。

七)非金屬之熱傳導係數在常溫時很小且特性與液體類似,也隨溫度之增加而增加。
八) 非金屬之熱傳導係數在常溫時,一般較小,但在低溫時情況就不同了。見圖4-8中藍寶石與固態氦的曲線。
九) 氣體是較差的熱導體,見4-8圖中的氦氣曲線。
流動的氣體或液體可以在某處吸收熱量,然後移到另處將熱傳遞出去,這樣的現象是對流。 如果是因為流體因不同密度而造成溫差,所產生對流的氣體或液體是為自然對流。例如??? 如果是因邦浦或風扇的作用所產生對流的氣體或液體是為強迫對流。例如???

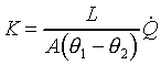
由上圖知
,
h是對流係數,A是牆的面積,Dq是流體與牆的溫差。 影響對流係數的因素有: 見課本
熱的固體或液體放出電磁波的現象,稱之為熱輻射。熱的物質所放出的電磁波經光譜分析知是連續光譜,同一種物質在不同的溫度的情況下其熱輻射之光譜的分佈(波長範圍)會不同。如在500℃時,一般物質其多光譜分佈在紅外線附近,當溫度增高時光譜的分部會趨進可見光區。總之溫度愈高,熱輻射的總能量愈高,光譜的分佈愈趨向短波長。 物體可以由輻射傳出熱量,而溫度降低。也可以吸收輻射熱量而升高溫度。實驗上的觀察證明知熱輻射率與熱輻吸收率和物體的溫度及表面的特質有關。 (一般而言由外界傳來之熱輻射是各向同性可以被物體反射、吸收和透射。)
Radiant exitance = R = total radiant power emitted per unit area.→輻射度 例如鎢在2177℃是500 kW/m2。
absorptivity = a = fraction of the total energy of isotropic radiation that is absorbed.→吸收率。例如鎢在2477℃是0.25。
Blackbody (黑體):
黑體是指吸收率等於1的物質,也就是可以吸收所有的熱輻射的物體。→這是一種理想物質,並不真實存在,但實驗可以找到非常近似的物體。什麼樣的裝置是接近黑體呢?下圖所示

黑體的熱輻射與材料本身的性質無關,而,如下所述得知、其僅與溫度有關。
被輻射度 H(Irradiance) 是指照射在空腔中任何單位面積上、單位時間內的輻射量。對黑體而言,單位面積所吸收之輻射功率等於
,(
)。
當黑體的溫度保持一定時,也就是黑體本身與外界達成熱平衡(所吸收之熱輻射等於所發出之熱輻射,熱的流出與流入是相等的),這也就是說黑體所發出之輻射,
,與其所吸收之熱輻射是的一樣多;即
→![]()
The irradiance within a cavity whose walls are at the temperature θis equal to the radiant exitance of a blackbody at the same temperature.→The radiation within a cavity is called Blackbody Radiation. 因為H與物質本身的特性無關,所以黑體輻射度只是溫度的函數。 任何黑體若其溫度相等,則熱輻射率相同,輻射光譜也相同,這種輻射與物質無關。稱之為黑體輻射。
克希何夫定律是指:物體之吸收率等於輻射度比同溫度之黑體輻射度即
【The gain or loss of internal energy,
equal to the difference between the energy of the thermal radiation which
is absorbed and that which is radiated, is called heat.】當一系統或物體與外界有溫差時、且無作功、無熱傳導或對流的現象時;與外界達成熱平衡過程中,內能的增加或減少等於輻射出的能量與所吸收之輻射兩者之間的差值,此內能的改變稱之為熱。
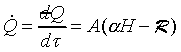
放入空腔的物體的大小與空腔相比小很多,物體本身單位面積單位時間內所放出之輻射熱為熱輻射度,R,而單位面積單位時間所吸收之輻射熱為αH,此兩者並不相等,此兩者之差恰等於單位面積單位時間的熱,此熱是經由熱輻射所轉換而成的。設物體之總表面積為A,
是dt時間內被轉換的熱,則

H是黑體空腔的被輻射度與qw有關。且
,
而
,所以:
上式說明熱經由熱輻射傳遞的速率正比於兩個不同黑體(一在溫度θw而另一在θ)輻射度的差值。
Stefan-Boltzmann Law 是先根據實驗的結果所作成的結論,後有理論推導證明黑體輻射度與絕對溫度的四次方成正比。即
其中s是Stefan-Boltzmann 常數。也就會有下式
![]()
如何測量Stefan-Boltzmann 常數?兩個簡單的方法:
一) 非平衡的方法: 
將銅半圓冷卻至會有水氣凝結同時阻斷外界熱輻射,然後打開銅半圓讓銀接受輻射升溫,銀升溫的梯度,
,可以測知,且熱的傳遞是
。則

因為將塗黑的銀視為黑體,故上式中α=1。
二) 平衡的方法 一中空塗黑的銅球內部有溫度計及電熱器保持在θw的平衡溫度後,開動加熱器使溫度升至θ。若假設整個球是黑體,則
![]()

r為球的半徑。